湖北省2023年普通高考总分一分一段统计表,相信一分一段统计表是每年高考必不可少的,6月25日,一分一段统计表发布,希望对你们填写志愿有帮助。

一、普通类(首选物理和首选历史)
【首选物理】





【首选历史】





二、艺术类
【戏剧与影视文学类(广播电视编导、播音与主持艺术专业)】(本科)








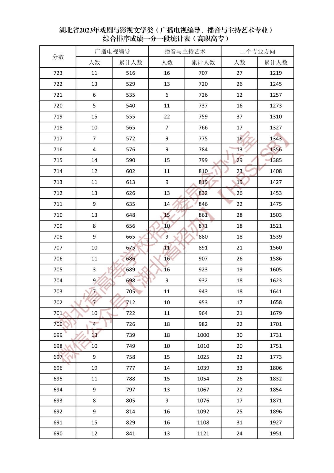
【戏剧与影视文学类(广播电视编导、播音与主持艺术专业)】(专科)













【戏剧与影视文学类(广播电视编导、播音与主持艺术专业、表演)】(本科)









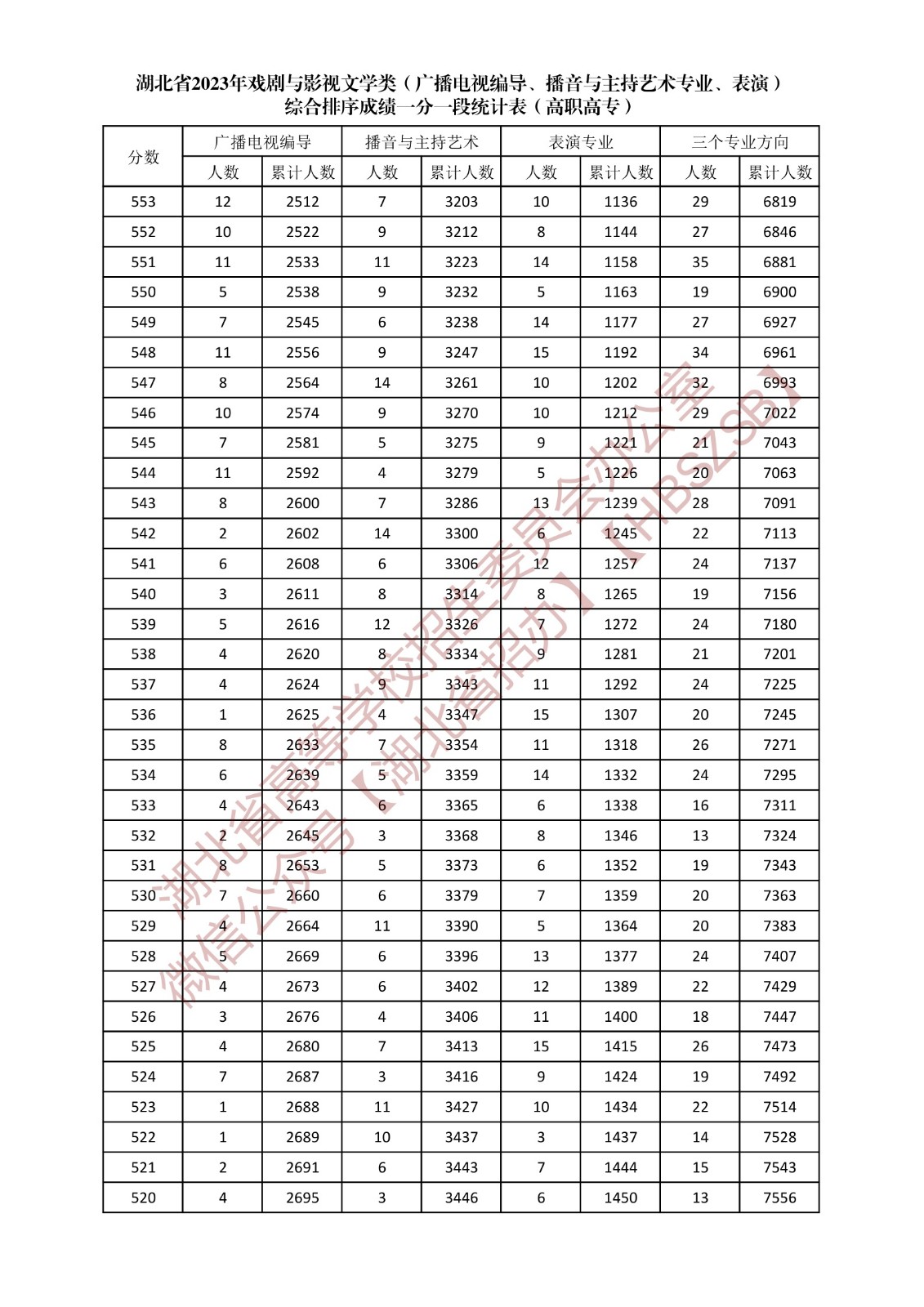
【戏剧与影视文学类(广播电视编导、播音与主持艺术专业、表演)】(专科)












【戏剧与影视文学类(服装表演)】



【舞蹈类】



【音乐学类】











三、体育类
【体育类】(本科)


【体育类】(专科)



四、技能高考
【技能高考】(本科)



【技能高考】(专科)












以上是湖北省2023年普通高考总分一分一段统计表,更多相关高考政策信息请关注我们。
扫一扫加入微信交流群
与学姐学长同城考生自由互动